This person has an interesting set of symptoms for ME/CFS. 34 yo female
- Neurological
- Visual agnosia (inability to interpret sensations and hence to recognize things, typically as a result of brain damage.)
- Severe hyperphagia ( abnormally strong sensation of hunger or desire to eat often leading)
- Severe sleep circadian rhythm disturbance (only thing it responded to shortly was methylated Bs)
- social anxiety (was severe now mild)
- brain fog
- intermittent prosopagnosia ( the inability to recognize the faces of familiar people)
- sensory overload – can’t stand showers, need darker room often
- Many of the above responds in some way to antibiotics
- Official Diagnosis: autonomic/small fiber neuropathy, POTS, Hashimoto and now Sjogrens sicca with swollen parotids.
The positive response to antibiotics suggests that the microbiome pays a significant factor.
Looking at Naive Predicted Symptoms From Bacteria table, we have:

For predicted medical conditions from PubMed studies, we had one good match, Hay Fever — and for that it was due to no Clostridium butyricum being found. Note that bacteria because it reoccurs as an issue using an entirely different analysis path.
Enzyme Analysis
The awesome results in my last post on an autism child, where the enzymes were identified as coming from bacteria species constantly reported as high with Autism, is causing me to look at enzymes shifts as a good strategy to identify the key bacteria to look at.

So the next step is to look for probiotics that can also produce these enzymes.

The easiest combination to obtain retail from the above are clostridium butyricum (Miyarisan ) which produces all 11 enzymes! and streptococcus thermophilus (which produces 10/11) and is available without other things at Custom Probiotics (with a recommended daily dosage of 320 BCFU). Miyarisan is cited in my 2017 post, What is the ideal probiotic for CFS / IBS / FM patients? As always, start with a low dosage and increase to a therapeutic dosage (typically 3x the normal dosage) after consulting with your medical professional.
Note that the prior analysis of a ME/CFS person’s microbiome also have these two probiotics being the first choice.
- Probiotic Streptococcus thermophilus FP4 and Bifidobacterium breve BR03 Supplementation Attenuates Performance and Range-of-Motion Decrements Following Muscle Damaging Exercise
- Other studies used streptococcus thermophilus with other bacteria and found neurological improvements.
KEGG Module Analysis
This is another way to evaluate the functions of the bacteria in a microbiome sample. There are less items then with Enzymes and, to be honest, I have not examined the results much after adding the code and data to compute them. So here goes….

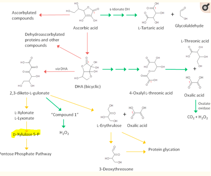
The first item above is associated with Vitamin C (Ascorbate) and influences gene expression [2018]. Looking at the chart below, I notice that H2O2 (hydrogen peroxide) is associated with it. Hydrogen peroxide is a major player for controlling some bacteria. It also feeds the Pentose phosphate pathway which cites “The PPP is one of the three main ways the body creates molecules with reducing power, accounting for approximately 60% of NADPH production in human”

Unfortunately, none of the bacteria producing this exist as probiotics.
End Product Outliers
Nothing was found outside of the ranges, but looking at Core Supplements there are two suggestions (low values, i.e. between 3 and 10ile%) Vitamin D, DAO Producing (diamine oxidase) with Cobalamin (Vitamin B12) and Gamma-Amino butyric acid (GABA) sitting around 15%ile. These are commonly used with ME/CFS and helpful to many. Because this person has cognitive issues, I did a little research on possible dosages.
- Suggested Dosages (should be reviewed with your medical professional)
- Vitamin D: See this post for calculation, I suspect 10-15,000 IU/day
- Cobalamin (Vitamin B12): 2000 μg/day
- One trial used 2000 μg/day vitamin B12 and demonstrated a mean difference of 680 pg/mL (95% confidence interval 392.7 to 967.3) in favour of oral vitamin B12 [2018]
- GABA: 300 mg /day (2018)
- [Gamma-aminobutyric acid–metabolism and its disorders].“stiff-person syndrome, chronic fatigue syndrome, anxiety disorders and seizures”
- Brain Fog association (sub-clinical hypercoagulation):
- [The effect of various doses of gamma-aminobutyric acid, adrenaline and insulin on coagulation time, prothrombin time and the prothromboplastic activity of rat blood]
- Effect of GABA derivatives on the rate of thrombus formation, platelet aggregation, and plasma coagulation capacity in rats with experimental gestosis
- Effects of Oral Gamma-Aminobutyric Acid (GABA) Administration on Stress and Sleep in Humans: A Systematic Review [2020]
- DAO: Nothing dosage specific, people that I know who uses it, does it on an in-need basis.
- “Histamine intolerance, also referred to as enteral histaminosis or sensitivity to dietary histamine, can be defined as a disorder arising from reduced histamine degradation capacity in the intestine due to impaired DAO activity, leading to its accumulation in plasma and the appearance of adverse effects [11,41,55].”
The above are compensating items that should be taken daily (or broken in every 8-12 hrs) which attempts to create a more healthy/normal environment for the rest of the microbiome and body to be living in. They are symptom relief and likely not cause relief — which takes us to the next step: Clostridium butyricum:
Unlike my last post on an autism child, there were no high enzymes to indicate the troublesome bacteria.
We turn to the Advance Suggestion engine and apply some filters.
Pass 1 for suggestions
First from Citizen Science we look at filtering for neurological decision making and drive a blank until we widen the search as shown below


Flavonoid Foods (Most important first): Pomegranate, Apples, Nuts, almonds ,Coconut (and water), Bananas, Cinnamon, and Dates, deglet noor
Pass 2 for suggestions
We change the filtering to CFS/ME and drop back to the most extreme 3% – where we get results




Flavonoid Foods was similar to above, but apples and banana were dropped off.
Bottom Line
Remember this is strictly on the basis of the microbiome and our current state of knowledge in interpreting and being able to act on it. It is important not to view this as a magic silver bullet. This person has some symptoms where the existing medical literature has suggestions (and which I have done posts summarizing and cited sources for ME/CFS) including the following:
- Bacopa monniera and Cognitive Function (we have no information on this supplement impact on the microbiome)
- Intrinsic Factor and low Vitamin B-12 levels Cognitive Impact
- The Neuroprotectors: Remember your super heroes for cognitive issues!
- Dry Eye Disease (Sjogren)/Syndrome – where suggestions include, Bioferim S (containing 2 of the probiotics suggested above)
- CFS: Insomnia and Sleep Disturbance
- Anxiety and the Microbiome
- POTS Revisited
- Microbiome Site Update – POTS and ALA
- and this older decision chart A decision chart for biohacking M.E. et al and What is comorbid with CFS/FM
In summary, clinical studies have tested some substances on various conditions which have been reported on PubMed. Microbiome analysis is based on microbiome shifts reported on PubMed by consuming some substances (ignoring medical conditions usually). If you construct a full list of both sets of substances, you will likely have only 10-20% of the substances in common. What has been studies in one context, has not been studied in the other context. Microbiome analysis is complimentary, not a replacement.
From the Microbiome
We have two set of items from above
- Items that will compensate for existing issues with enzymes and end product production (symptom relief)
- Miyarisan, Vitamin D, DAO Producing (diamine oxidase), Cobalamin (Vitamin B12), Gamma-Amino butyric acid (GABA), streptococcus thermophilus
- Items that will help shift the microbiome to a better state (fixing the root problem) – this is based on one of dozens of possible filtering of bacteria into subsets.
- Number 1 item is Cocoa — as in 85% – 92% Chocolate daily (or more often)… a rough prescription
- Several different probiotics (if you get a mixture — make sure that it is on the positive list. Some species of probiotics will make things worse for some people).
Oops — we forgot antibiotics
This user had improvement on antibiotics, so which ones are suggested? Back to the suggestion page and checking/unchecking items.


And more important, which ones to avoid!

As always, to be reviewed with your medical professional before starting. There are algorithm/artificial intelligence generated suggestion based on data that has been entered (usually from gold standard sources).