This post comes out of a 2018 article: Chronic fatigue syndrome patients have alterations in their oral microbiome composition and function. [Sep 2018]. The basic findings was:
Of these, Veillonella abundance was significantly different between CFS patients and healthy controls, with 9.81 ± 8.26% and 13.97 ± 8.91%
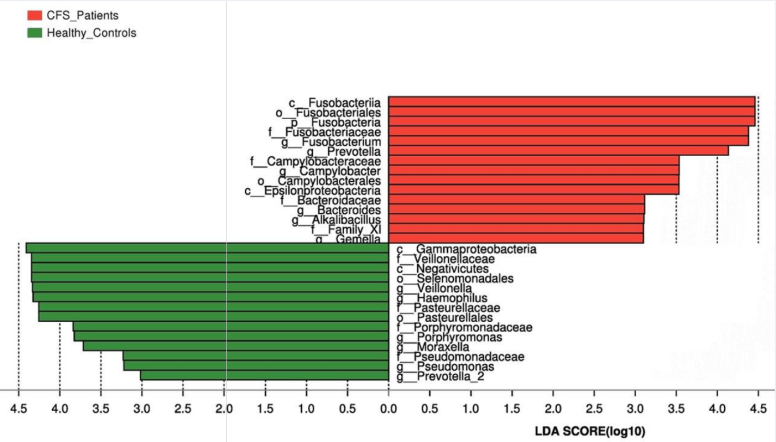
In addition, many of the genera with a relative abundance greater than 1% were significantly different in CFS patients compared to healthy controls. For example, Fusobacterium, Prevotella, Leptotrichia, and Campylobacter had increased abundance in CFS patients compared to healthy controls, while Haemophilus, Porphyromonas, and Moraxella had decreased abundance in CFS patients compared to healthy controls.

In the past, I have written that oral/mouth bacteria was likely a reserve for ME/CFS bacteria. This study appears to confirm my earlier inference.
- A mouth full – for better or worst (2014)
- Treatment: Where do I go from Here #1 (2015)
- Your mouth can trigger flares (2017)
Constructing a Mouth Wash Conceptually
This is done by using the Genus Lab report page, The results of which summarize below (Some are in some commercial alternative mouth washes):
- ku ding cha tea
- Cumin / Tumeric
- Coconut water (or apple juice) with following dissolved:
- Rosemary, Neem, Oregano
In terms of probiotics, the following should be dissolved in the mouth (capsules open) and not swallowed:

Bottom Line
The above is an a priori formulation based on the report cited above. It is interesting to note that saccharin is a to avoid (and found in some commercial mouth washes)
Self Experiment: Of the above probiotics, Shin Biofermin (JP) /S seemed the best to try — small hard tablets (Normal dosage is 18) that lends itself to dissolving in the mouth. At bedtime, I slowly dissolved two in the mouth. That night I slept the hardest that I have in months. (I have added a link to a world wide shipper on the above probiotic link)
